N6,2’-O-Dibutyryladenosine 3’,5’-cyclic monophosphate Calcium Salt
Product Name: Calcium Dibutyacyladenosine Cyclophosphate;
N-(1-Oxobutyl)adenosine cyclic 3’,5’-(hydrogen phosphate) 2’- butano
-ate Calcium salt;N6,2’-O-dibutyryl cAMP Calcium salt; DBcAMP- Ca
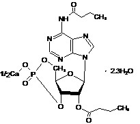
Structure

Molecular Formula: C18H23N5O8P •1/2Ca•2.3H2O
Molecular Weight: 529.9
CAS Number: ----
NMPA approval No. H20066880
National Drug standards YBH21242006
|
TEST |
CP |
Results |
|
Color & Appearance |
Off white to faint yellow powder |
Conforms |
|
Water content |
NMT 7.0 % |
5.0 % |
|
Assay ( HPLC ) |
NLT 98.0 % |
98.5% |
|
Impurities ( total ) |
NMT 2.0 % |
1.8 % |
|
Cyclic AMP |
NMT 0.4 % |
0.06% |
|
N6-MBC ( N6-Monobutyryladenosine 3’:5’-cyclic momophosphate calcium salt ) |
||
|
|
NMT 0.4 % |
0.16% |
|
2’-O-MBC ( 2’-O-Monobutyryladenosine 3’:5’-cyclic momophosphate calcium salt) |
||
|
|
NMT 0.9 % |
0.77 % |
|
Unknown impurities (individual) |
NMT 0.3 % |
0.16 % |
Package: 1kg
Storage:Keep dry, store at temperature below 20℃.


